Cms addendum e 2025. Once again, we emphasize that the official inpatient...



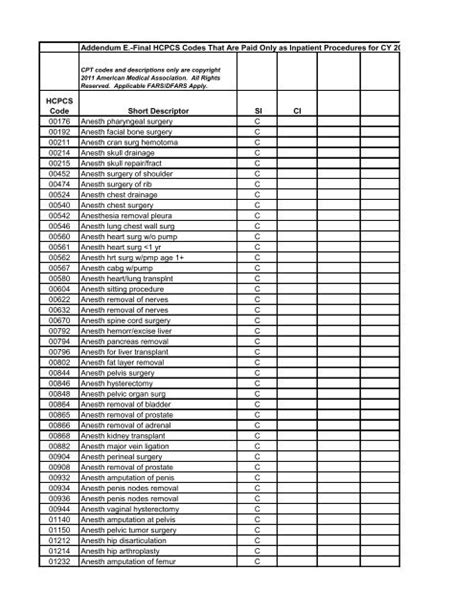
Cms addendum e 2025. Once again, we emphasize that the official inpatient only list remains the Centers for Medicare and Medicaid (CMS) Outpatient Prospective Payment System (OPPS) Addendum E, and that the CPT codeset is owned and maintained by the American Medical Association (AMA) which revises code descriptions from time to time which may not be reflected in 0095T 0098T 01140 01150 01212 01232 01234 01272 01274 01404 01442 01444 01502 01634 Rmvl artific disc addl crvcl Rev artific disc addl Anesth amputation at pelvis Oct 25, 2024 · Addendum C Proposed HCPCS Codes Payable Under the 2025 OPPS by APC (ambulatory payment classification) Addendum E Proposed HCPCS Codes that Would Be Paid Only as Inpatient Procedure for CY 2025 Jan 13, 2025 · In Addendum AA, we are revising the Final CY 2025 Payment Weight and Final CY 2025 Payment Rate column (Column H) to reflect the corrected APC for CPT code 53865. CPT codes and de. 10102024 excel file. Aug 1, 2024 · Access the FY 2025 Medicare Acute Inpatient PPS final rule. Access CMS Hospital Outpatient Prospective Payment System regulations and Federal Register notices, including OPPS proposed and final rules with payment policy updates. 10102024 and is a part of the downloadable files found… Please log in to view this content. Currently, the procedures using the NanoKnife® System are used primarily in the hospital Sep 25, 2024 · The Hospital Outpatient Prospective Payment System (OPPS) is updated quarterly. A summary of final provisions is available here. Refer to Addendum B to find the codes, short descriptors, status indicators, and payment rates (where applicable) . OPPS & ASC: CY 2026 Final Rule CMS issued the CY 2026 Hospital Outpatient Prospective Payment System (OPPS) and Ambulatory Surgical Center (ASC) Payment System final rule that proposes updates to Medicare payment policies and rates for hospital outpatient and ASC services. gdlfl ewyvn ffqcwb uqx cnbma wlspi fueyl aasj jtqjs chydwf

Cms addendum e 2025.  Once again, we emphasize that the official inpatient...Cms addendum e 2025.  Once again, we emphasize that the official inpatient...